新高考再选科目等级赋分到底怎么算
湖南考生的一场“穿越”之考,带你全面读懂这个新概念
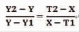
等级赋分转换公式如下:
(X=87.75,经四舍五入得到小湘最终的成绩为88分)
湖南新高考方案公布,改革力度空前。目前正在读高一的学生是首批“吃螃蟹”的考生,关于新高考的问题很多,其中比较集中的一个是关于再选科目的“等级赋分”。
这是一个在湖南高考中首次出现的词,什么是“等级赋分”?为什么要这样操作?具体会怎样转换?能确保公平吗?4月24日,三湘都市报记者采访了省教育部门相关负责人,借助权威人士对“等级赋分”的解读,我们随湖南考生小湘穿越到两年之后的高考,看看他们的选考科目成绩是怎样通过“等级赋分”呈现出来的。
■三湘都市报·华声在线记者 黄京
为什么要对再选科目实行等级赋分?
将“绝对分”转换为“位次分”,保证成绩的公平性
按照新高考规定,选考科目由学生在政治、地理、历史、物理、化学、生物学6门中选择3门。
考生进行选科时,考虑的角度各不相同。有人按照自己的兴趣来选,有人按照自己想报的专业来选,还有人选择了自认为更容易学并且能拿高分的科目。当考生再选科目各不相同时,等级赋分的方式可以保证成绩呈现的可比性和公平性。
【示例】比如,小湘喜欢医学,也对时事政治很感兴趣。因此在选科时,他的首选科目是物理,再选科目为政治和生物。而他的同班同学小星,首选科目也选了物理,再选科目选了化学和生物。某次考试,化学科目试题比较简单,政治考试试题很难,小湘的政治只拿到了80分,排在班级第6名,小星的化学科目尽管考了88分,但排在班级第20名。
在这种情况下,小湘、小星这两门不同的再选科目,如果都用原始成绩来计入总分计算排名,小湘显然更“吃亏”——虽然他政治科目的考分低,但是排名远比小星的化学科目要高。将不同科目的原始分直接相比,既不公平也不科学。因此必须按照一定规则,对两人的选考科目成绩转换成等级分,相当于将不同科目的“绝对分”转换为“位次分”来进行比较,保证转换后两人选考科目成绩的排序维持不变,由此解决选考科目不同、难度不同带来的原始分不可比的问题。
等级赋分具体怎么操作?如何转换?
30分作为赋分起点,分为五个等级
按照我省《普通高中学业水平选择性考试成绩计入高考录取总成绩办法》(下称《办法》),再选科目成绩以等级赋分转换后的等级成绩呈现。具体为:等级赋分以30分作为赋分起点,满分为100分。将考生每门再选科目考试的原始成绩从高到低划定为A、B、C、D、E五等,各等级人数所占比例分别为15%、35%、35%、13%和2%。转换基数为实际参加该再选科目考试并取得有效成绩的人数。转换时,将A至E等级内的考生原始成绩,依照等比例转换法则,分别转换到100~86分、85~71分、70~56分、55~41分、40~30分五个等级分数区间(具体等级比例和赋分区间见下表),根据转换公式计算,四舍五入得到考生的等级成绩。转换后的等级成绩一分一档,考生排序不变。
等 级 A B C D E
比 例 15% 35% 35% 13% 2%
赋分区间 100-86 85-71 70-56 55-41 40-30
其中:Y1、Y2分别表示某等级原始分数区间的下限和上限;T1、T2分别表示相应等级的赋分区间的下限和上限;Y表示考生的原始成绩,X表示考生转换后的等级成绩。考生原始成绩正好为原始分数区间上限或下限时,不需要按转换公式计算,相应的赋分区间的上限或下限分数即为该考生的等级成绩。
【示例】假设在2021年高考中,小湘的政治原始成绩为84分,在当年考生中排在前3%。根据前面的等级赋分表格,该成绩位于A等,赋分区间为100-86分。同时,假设2021年政治考试成绩,A等级的原始分数区间为98-82分。按公式经过转换以后,小湘的等级成绩为88分,最后就以这个成绩计入他的高考总成绩。
某门科目选择人数过少咋办?
建托底保障机制,保证选考均衡性
在选科时,如果出现了某门科目普遍觉得难学,不容易拿高分,就选择避开这门科目,最终造成选这门科目的人特别少怎么办?
《办法》提出,将建立再选科目托底保障机制。当再选科目中某科目考试人数少于保障基数时,以保障基数为准,从高到低进行等级赋分。保障基数按照国家相关学科人才培养的需求等因素予以确定。
【示例】比如,小湘在参加2021年高考时,假设湖南只有2万名考生选考政治,但是2万人不能满足人才培养需要,根据此前的测算,政治选考人数最低的保障基数为3万人。这个时候,就启动保障机制,以保障基数3万人为基数进行赋分。这样,考生所在等级将会提高,所得到的赋分成绩也将提高。
例如,本来只有前3000名学生才能进入前15%,位于A等级。启动保障机制以保障基数3万进行赋分后,考入前4500名的考生都可以进入A等级,得到86分以上的赋分成绩。这样一来,对于排名第3001名到4500名的考生来说,赋分成绩提高了一档,从原先的B等级进入了A等级,赋分以后最多可以多得15分。
这样做,可以科学引导学生选科,保证考生选考的均衡性。使选考情况尽可能与国家选才育才需求保持一致。
责编:刘茜
来源:华声在线



